Search any question & find its solution
Question:
Answered & Verified by Expert
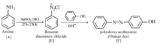
A colourless substance 'A' $\left(\mathrm{C}_6 \mathrm{H}_7 \mathrm{~N}\right)$ is sparingly soluble in water and gives a water soluble compound ' $\mathrm{B}$ ' on treating with mineral acid. On reaction with $\mathrm{CHCl}_3$ and alcoholic potash 'A' produces an obnoxious smell due to the formation of compound ' $\mathrm{C}$ '. Reaction of ' $\mathrm{A}$ ' with beneznesulphonyl chloride gives compound ' $\mathrm{D}$ ' which is soluble in alkali. With $\mathrm{NaNO}_2$ and $\mathrm{HCl}$, 'A' forms compound ' $\mathrm{E}$ ' which reacts with phenol in alkaline medium to give an orange dye 'F'. Identify compounds 'A' to 'F'.
Solution:
1345 Upvotes
Verified Answer
(i)
(ii)
(iii)
(iv)

(ii)

(iii)

(iv)

Looking for more such questions to practice?
Download the MARKS App - The ultimate prep app for IIT JEE & NEET with chapter-wise PYQs, revision notes, formula sheets, custom tests & much more.