Search any question & find its solution
Question:
Answered & Verified by Expert
Accomplish the following conversions:
(i) Nitrobenzene to benzoic acid
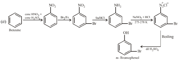
(ii) Benzene to \(m\)-bromophenol
(iii) Benzoic acid to aniline
(iv) Aniline to 2, 4, 6-tribromofluorobenzene
(v) Benzyl chloride to 2-phenylethanamine
(vi) Chlorobenzene to \(\mathrm{p}\)-chloroaniline
(vii) Aniline to \(p\)-bromoaniline
(viii) Benzamide to toluene
(ix) Aniline to benzyl alcohol.
(i) Nitrobenzene to benzoic acid
(ii) Benzene to \(m\)-bromophenol
(iii) Benzoic acid to aniline
(iv) Aniline to 2, 4, 6-tribromofluorobenzene
(v) Benzyl chloride to 2-phenylethanamine
(vi) Chlorobenzene to \(\mathrm{p}\)-chloroaniline
(vii) Aniline to \(p\)-bromoaniline
(viii) Benzamide to toluene
(ix) Aniline to benzyl alcohol.
Solution:
2295 Upvotes
Verified Answer









Looking for more such questions to practice?
Download the MARKS App - The ultimate prep app for IIT JEE & NEET with chapter-wise PYQs, revision notes, formula sheets, custom tests & much more.