Search any question & find its solution
Question:
Answered & Verified by Expert
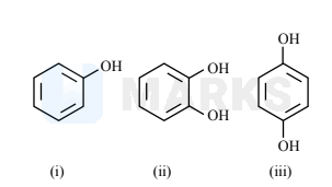
Among i-iii

the boiling point follows the order
Options:

the boiling point follows the order
Solution:
2761 Upvotes
Verified Answer
The correct answer is:
$i < \mathrm{ii} < $ iii

$\text { (iii) }>(\mathrm{ii})>\text { (i) }$
In (ii) Intra $\mathrm{H}$-Bonding is not formed because ring formation is not stable
Looking for more such questions to practice?
Download the MARKS App - The ultimate prep app for IIT JEE & NEET with chapter-wise PYQs, revision notes, formula sheets, custom tests & much more.