Search any question & find its solution
Question:
Answered & Verified by Expert
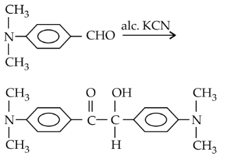
Assertion : $p$-N, $\mathrm{N}$-dimethylaminobenzaldehyde undergoes benzoin condensation.
Reason: The aldehydic $(-\mathrm{CHO})$ group is meta directing.
Options:
Reason: The aldehydic $(-\mathrm{CHO})$ group is meta directing.
Solution:
1473 Upvotes
Verified Answer
The correct answer is:
If both assertion and reason are true but reason is not the correct explanation of assertion

Looking for more such questions to practice?
Download the MARKS App - The ultimate prep app for IIT JEE & NEET with chapter-wise PYQs, revision notes, formula sheets, custom tests & much more.