Join the Most Relevant JEE Main 2025 Test Series & get 99+ percentile! Join Now
Search any question & find its solution
Question: Answered & Verified by Expert
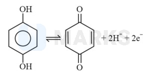
At pH=2,EQuinhydrone0=1·30V,EQuinhydrone will be
ChemistryElectrochemistryJEE Main
Options:
  • A 1·36 V
  • B 1·32 V
  • C 1·42 V
  • D 1·26 V
Solution:
1550 Upvotes Verified Answer
The correct answer is: 1·42 V
E=E0-0.0592logH+2=1·30-0.0592log10-22
=1·30+0.2362=1·418 V

Looking for more such questions to practice?

Download the MARKS App - The ultimate prep app for IIT JEE & NEET with chapter-wise PYQs, revision notes, formula sheets, custom tests & much more.