Join the Most Relevant JEE Main 2025 Test Series & get 99+ percentile! Join Now
Search any question & find its solution
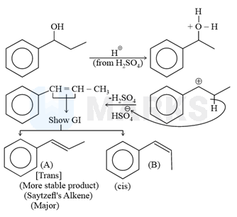
Question: Answered & Verified by Expert

consider the above reaction, and choose the correct statement:

ChemistryHydrocarbonsJEE MainJEE Main 2021 (27 Jul Shift 2)
Options:
  • A The reaction is not possible in acidic medium
  • B Both compounds A and B are formed equally
  • C Compound A will be the major product
  • D Compound B will be the major product
Solution:
1147 Upvotes Verified Answer
The correct answer is: Compound A will be the major product

Looking for more such questions to practice?

Download the MARKS App - The ultimate prep app for IIT JEE & NEET with chapter-wise PYQs, revision notes, formula sheets, custom tests & much more.