Search any question & find its solution
Question:
Answered & Verified by Expert
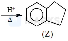
Consider the following sequence of reactions and identify the final product (Z).
Options:
Solution:
1529 Upvotes
Verified Answer
The correct answer is:
(X)
(Y)
(Z)



(Y)
(Z)
Looking for more such questions to practice?
Download the MARKS App - The ultimate prep app for IIT JEE & NEET with chapter-wise PYQs, revision notes, formula sheets, custom tests & much more.