Search any question & find its solution
Question:
Answered & Verified by Expert
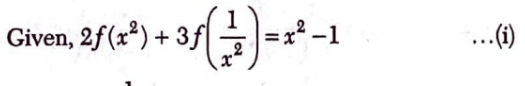
If $2 f\left(x^2\right)+3 f\left(\frac{1}{x^2}\right)=x^2-1, \forall x \in R-\{0\}$, then $f\left(x^8\right)$ is equal to
Options:
Solution:
1558 Upvotes
Verified Answer
The correct answer is:
$\frac{\left(1-x^8\right)\left(2 x^8+3\right)}{5 x^8}$

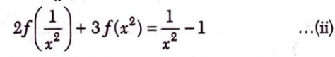
Replacing $x$ by $\frac{1}{x}$, we get

On multiplying Eq. (i) by 2, Eq. (ii) by 3 and then subtracting Eq. (i) from Eq. (ii), we get
$\begin{array}{rlrl}
& & 5 f\left(x^2\right) & =3\left(\frac{1}{x^2}-1\right)-2\left(x^2-1\right) \\
\Rightarrow & \quad 5 f\left(x^2\right) & =\frac{3}{x^2}-2 x^2-1 \\
\Rightarrow & \quad f\left(x^2\right) & =\frac{1}{5}\left(\frac{3}{x^2}-2 x^2-1\right) \\
\Rightarrow & \quad f\left(x^2\right) & =\frac{1}{5 x^2}\left(3-2 x^4-x^2\right) \\
\Rightarrow & \quad f\left(x^2\right) & =\frac{\left(2 x^2+3\right)\left(1-x^2\right)}{5 x^2} \\
\therefore & & f\left(x^8\right) & =\frac{\left(1-x^8\right)\left(2 x^8+3\right)}{5 x^8}
\end{array}$
Looking for more such questions to practice?
Download the MARKS App - The ultimate prep app for IIT JEE & NEET with chapter-wise PYQs, revision notes, formula sheets, custom tests & much more.