Search any question & find its solution
Question:
Answered & Verified by Expert
If $n={ }^m C_2$, then the value of ${ }^n C_2$ is given by
Options:
Solution:
2795 Upvotes
Verified Answer
The correct answer is:
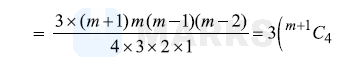
$3\left({ }^{m+1} C_4\right)$
$3\left({ }^{m+1} C_4\right)$
$n={ }^m \mathrm{C}_2=\frac{m(m-1)}{2}$
Since $m$ and $(m-1)$ are two consecutive natural numbers, therefore their product is an even natural number. So $\frac{m(m-1)}{2}$ is also a natural number.
Now $\frac{m(m-1)}{2}=\frac{m^2-m}{2}$
$$
\begin{aligned}
\therefore & \frac{m(m-1)}{2} \mathrm{C}_2=\frac{\left(\frac{m^2-m}{2}\right)\left(\frac{m^2-m}{2}-1\right)}{2} \\
& =\frac{m(m-1)\left(m^2-m-2\right)}{8} \\
& =\frac{m(m-1)\left[m^2-2 m+m-2\right]}{8} \\
& =\frac{m(m-1)[m(m-2)+1(m-2)]}{8} \\
& =\frac{m(m-1)(m-2)(m+1)}{8}
\end{aligned}
$$

Since $m$ and $(m-1)$ are two consecutive natural numbers, therefore their product is an even natural number. So $\frac{m(m-1)}{2}$ is also a natural number.
Now $\frac{m(m-1)}{2}=\frac{m^2-m}{2}$
$$
\begin{aligned}
\therefore & \frac{m(m-1)}{2} \mathrm{C}_2=\frac{\left(\frac{m^2-m}{2}\right)\left(\frac{m^2-m}{2}-1\right)}{2} \\
& =\frac{m(m-1)\left(m^2-m-2\right)}{8} \\
& =\frac{m(m-1)\left[m^2-2 m+m-2\right]}{8} \\
& =\frac{m(m-1)[m(m-2)+1(m-2)]}{8} \\
& =\frac{m(m-1)(m-2)(m+1)}{8}
\end{aligned}
$$

Looking for more such questions to practice?
Download the MARKS App - The ultimate prep app for IIT JEE & NEET with chapter-wise PYQs, revision notes, formula sheets, custom tests & much more.