Join the Most Relevant JEE Main 2025 Test Series & get 99+ percentile! Join Now
Search any question & find its solution
Question: Answered & Verified by Expert
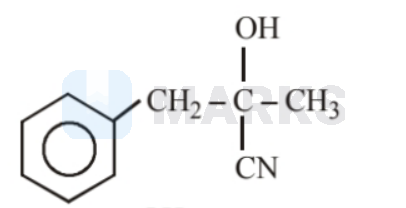
In a set of reactions acetic acid yielded a product D.


$$
\text { The structure of (d) would be - }
$$
ChemistryCarboxylic Acid DerivativesVITEEEVITEEE 2021
Options:
  • A
  • B
  • C
  • D
Solution:
2344 Upvotes Verified Answer
The correct answer is:

Looking for more such questions to practice?

Download the MARKS App - The ultimate prep app for IIT JEE & NEET with chapter-wise PYQs, revision notes, formula sheets, custom tests & much more.