Search any question & find its solution
Question:
Answered & Verified by Expert
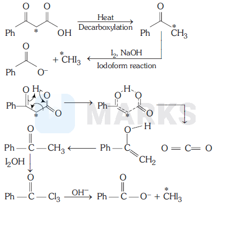
In the following reaction sequence, the correct structures of $E, F$ and $G$ are

Options:

Solution:
1111 Upvotes
Verified Answer
The correct answer is:



Looking for more such questions to practice?
Download the MARKS App - The ultimate prep app for IIT JEE & NEET with chapter-wise PYQs, revision notes, formula sheets, custom tests & much more.


