Join the Most Relevant JEE Main 2025 Test Series & get 99+ percentile! Join Now
Search any question & find its solution
Question: Answered & Verified by Expert
In the Gabriel's phthalimide synthesis, phthalimide, is treated first with
ChemistryCarboxylic Acid DerivativesJEE Main
Options:
  • A $\mathrm{C}_2 \mathrm{H}_5 \mathrm{I} / \mathrm{KOH}$
  • B Ethanolic Na
  • C Ethanol and $\mathrm{H}_2 \mathrm{SO}_4$
  • D Ether and $\mathrm{LiAlH}_4$
Solution:
2908 Upvotes Verified Answer
The correct answer is: $\mathrm{C}_2 \mathrm{H}_5 \mathrm{I} / \mathrm{KOH}$
The correct option is $\mathrm{1}_2 \mathrm{H}_5$ I/Alc. $\mathrm{KOH}$
Gabriel phthalimide is firstly treated with alcoholic $\mathrm{KOH}$ to from potassium phthalimide which on further reaction with ethyl iodide gives N-Ethyl phthalimide.
The product $\mathrm{N}$-Ethyl phthalimide is hydrolysed with aq. $\mathrm{NaOH}$ to form primary amine, i.e. ethylamine. This reaction is known as Gabriel phthalimide synthesis. Thus option (1) is correct.


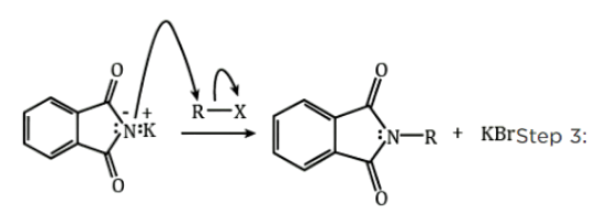
Step 1: When potassium hydroxide is introduced to the phthalimide, an acidbase reaction occur. The hydroxide ion deprotonates the imide. The resulting proton is more acidic than any simple amine, generating a strong nucleophile the potassium phthalimide ion.

The nucleophilic potassium imide ion attacks the electrophilic carbon of the alkyl halide. The nitrogen atom subsequently replaces the halogen (Fluorine, Chlorine, Bromine or lodine) in the alkyl halide and bonds with the carbon itself. This results in the formation of an N-Alkyl Phthalimide.

The product $\mathrm{N}$-Alkyl phthalimide is hydrolysed with aq. $\mathrm{NaOH}$ to form primary amine, i.e. Alkylamine.

product in Gabriel's phthalimide synthesis

Looking for more such questions to practice?

Download the MARKS App - The ultimate prep app for IIT JEE & NEET with chapter-wise PYQs, revision notes, formula sheets, custom tests & much more.