Join the Most Relevant JEE Main 2025 Test Series & get 99+ percentile! Join Now
Search any question & find its solution
Question: Answered & Verified by Expert
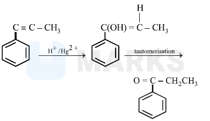
In the given reaction,


the product 'A' is
ChemistryHaloalkanes and HaloarenesJEE MainJEE Main 2012 (12 May Online)
Options:
  • A

  • B

  • C

  • D

Solution:
1540 Upvotes Verified Answer
The correct answer is:


Looking for more such questions to practice?

Download the MARKS App - The ultimate prep app for IIT JEE & NEET with chapter-wise PYQs, revision notes, formula sheets, custom tests & much more.