Search any question & find its solution
Question:
Answered & Verified by Expert
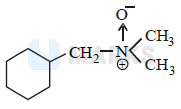
In the reaction 
\(\stackrel{\Delta}{\longrightarrow}\) (A), product (A) is
Options:

\(\stackrel{\Delta}{\longrightarrow}\) (A), product (A) is
Solution:
2807 Upvotes
Verified Answer
The correct answer is:


Completing the reaction, we get




Looking for more such questions to practice?
Download the MARKS App - The ultimate prep app for IIT JEE & NEET with chapter-wise PYQs, revision notes, formula sheets, custom tests & much more.
