Join the Most Relevant JEE Main 2025 Test Series & get 99+ percentile! Join Now
Search any question & find its solution
Question: Answered & Verified by Expert
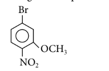
IUPAC name of the given compound is

ChemistryGeneral Organic ChemistryAIIMSAIIMS 2018 (26 May)
Options:
  • A 2-methoxy-4-bromonitrobenzene
  • B 3-bromo-6-nitro-1-methoxybenzene
  • C 3-methoxy-4-nitrobromobenzene
  • D 5-bromo-2-nitro-1-methoxybenzene.
Solution:
2501 Upvotes Verified Answer
The correct answer is: 5-bromo-2-nitro-1-methoxybenzene.

Looking for more such questions to practice?

Download the MARKS App - The ultimate prep app for IIT JEE & NEET with chapter-wise PYQs, revision notes, formula sheets, custom tests & much more.