Join the Most Relevant JEE Main 2025 Test Series & get 99+ percentile! Join Now
Search any question & find its solution
Question: Answered & Verified by Expert
Let P be the point of intersection of the common tangents to the parabola y2=12x and the hyperbola  8x2-y2=8. If S and S' denote the foci of the hyperbola where S lies on the positive x-axis then P divides SS' in a ratio:
MathematicsHyperbolaJEE MainJEE Main 2019 (12 Apr Shift 1)
Options:
  • A 5:4
  • B 2:1
  • C 13:11
  • D 14:13
Solution:
2225 Upvotes Verified Answer
The correct answer is: 5:4

Let m is slope of common tangent and an equation of tangent to hyperbola x21-y28=1 is

y=mx±1m2-8      ...1

equation of tangent to parabola y2=12x is

y=mx+3m       ...2

 1 & 2 is same

  ±m2-8=3m

m4-8m2-9=0m2=-1 (Reject)

m4-8m2-9=0m2=9m=±3

equation of common tangents is y=3x+1&y=-3x-1

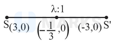
point of intersection of common tangents is R-13,0 & Foci of hyperbolas are 3,0 & -3,0

-3λ+3λ+1=-13λ=54

Hence, the required ratio is 5 : 4.

Looking for more such questions to practice?

Download the MARKS App - The ultimate prep app for IIT JEE & NEET with chapter-wise PYQs, revision notes, formula sheets, custom tests & much more.