Search any question & find its solution
Question:
Answered & Verified by Expert
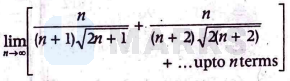
$\lim _{n \rightarrow \infty}\left[\frac{n}{(n+1) \sqrt{2 n+1}}+\frac{n}{(n+2) \sqrt{2(2 n+2)}}\right.$ $+\frac{n}{(n+3) \sqrt{3(2 n+3)}}+\ldots n$ terms $]=\int_0^1 f(x) d x$ then $f(x)=$
Options:
Solution:
2576 Upvotes
Verified Answer
The correct answer is:
$\frac{1}{(1+x) \sqrt{x^2+2 x}}$
Here,

$\begin{aligned} & =\lim _{n \rightarrow \infty} \frac{1}{n} \sum_{k=1}^n \frac{n^2}{(n+k) \sqrt{k(2 n+k)}} \\ & =\lim _{n \rightarrow \infty} \frac{1}{n} \sum_{k=1}^n \frac{n^2}{(n+k) \sqrt{k(2 n+k)}} \times \frac{n^2}{n^2} \\ & =\lim _{n \rightarrow \infty} \frac{1}{n} \sum_{k=1}^n \frac{1}{\left(\frac{n+k}{n}\right) \sqrt{\frac{k}{n}\left(\frac{2 n+k}{n}\right)}}\end{aligned}$
$\begin{aligned} & =\lim _{n \rightarrow \infty} \frac{1}{n} \sum_{k=1}^n \frac{1}{\left(1+\frac{k}{n}\right) \sqrt{\frac{k}{n}\left(2+\frac{k}{n}\right)}} \\ & =\int_0^1 \frac{1}{(1+x) \sqrt{x(2-x)}} d x=\int_0^1 f(x) d x\end{aligned}$
$f(x)=\frac{1}{(1+x) \sqrt{2 x+x^2}}$

$\begin{aligned} & =\lim _{n \rightarrow \infty} \frac{1}{n} \sum_{k=1}^n \frac{n^2}{(n+k) \sqrt{k(2 n+k)}} \\ & =\lim _{n \rightarrow \infty} \frac{1}{n} \sum_{k=1}^n \frac{n^2}{(n+k) \sqrt{k(2 n+k)}} \times \frac{n^2}{n^2} \\ & =\lim _{n \rightarrow \infty} \frac{1}{n} \sum_{k=1}^n \frac{1}{\left(\frac{n+k}{n}\right) \sqrt{\frac{k}{n}\left(\frac{2 n+k}{n}\right)}}\end{aligned}$
$\begin{aligned} & =\lim _{n \rightarrow \infty} \frac{1}{n} \sum_{k=1}^n \frac{1}{\left(1+\frac{k}{n}\right) \sqrt{\frac{k}{n}\left(2+\frac{k}{n}\right)}} \\ & =\int_0^1 \frac{1}{(1+x) \sqrt{x(2-x)}} d x=\int_0^1 f(x) d x\end{aligned}$
$f(x)=\frac{1}{(1+x) \sqrt{2 x+x^2}}$
Looking for more such questions to practice?
Download the MARKS App - The ultimate prep app for IIT JEE & NEET with chapter-wise PYQs, revision notes, formula sheets, custom tests & much more.