Search any question & find its solution
Question:
Answered & Verified by Expert
Match List-I with List-II
| List-I | List-II | ||
| A | ![]() | I | in |
| B | ![]() | II | |
| C | ![]() | III | |
| D | ![]() | IV |
Question: Choose the correct answer from the options given below
Solution:
2347 Upvotes
Verified Answer
The correct answer is:
A) Phenol reacts with chloroform in presence of aqueous sodium hydroxide to form salicylaldehyde, which is named as Riemer-Tiemann reaction.
B)Phenol when heated with zinc dust forms benzene.
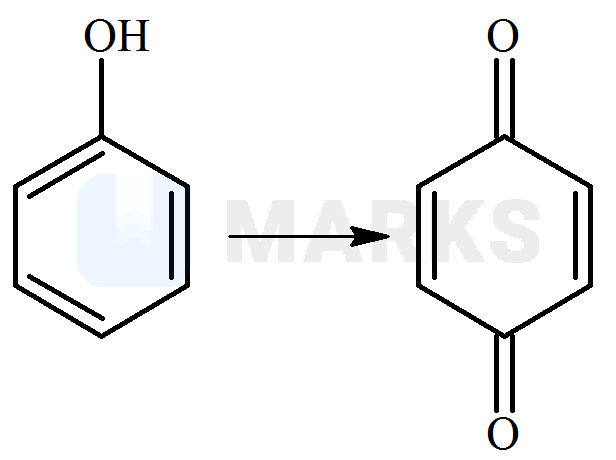
C)Oxidation of phenol with acidified potassium dichromate gives benzoquinone.
D) Bromination of phenol in presence of a non-polar solvent like CS2 gives para-bromo phenol as the major product.
(A) 
(B)

(C)

(D)

Looking for more such questions to practice?
Download the MARKS App - The ultimate prep app for IIT JEE & NEET with chapter-wise PYQs, revision notes, formula sheets, custom tests & much more.



