Search any question & find its solution
Question:
Answered & Verified by Expert
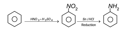
The compound 'A' when treated with $\mathrm{HNO}_3$ (in presence of $\mathrm{H}_2 \mathrm{SO}_4$ ) gives compound ' $\mathrm{B}$ ' which is then reduced with $\mathrm{Sn}$ and $\mathrm{HCl}$ to aniline. The compound ' $\mathrm{A}$ ' is
Options:
Solution:
1279 Upvotes
Verified Answer
The correct answer is:
Benzene

Looking for more such questions to practice?
Download the MARKS App - The ultimate prep app for IIT JEE & NEET with chapter-wise PYQs, revision notes, formula sheets, custom tests & much more.