Search any question & find its solution
Question:
Answered & Verified by Expert
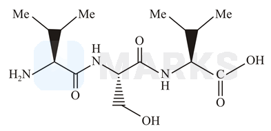
The correct sequence of amino acids present in the tripeptide given below is:
Solution:
1466 Upvotes
Verified Answer
The correct answer is:
Val - Ser - Thr
Amino acids are organic compounds that contain amino and carboxyl functional groups, along with a side chain specific to each amino acid. The key elements of an amino acid are carbon, hydrogen, oxygen, and nitrogen, although other elements are found in the side chains of certain amino acids.
Peptides are short chains of amino acids linked by peptide bonds
Looking for more such questions to practice?
Download the MARKS App - The ultimate prep app for IIT JEE & NEET with chapter-wise PYQs, revision notes, formula sheets, custom tests & much more.