Search any question & find its solution
Question:
Answered & Verified by Expert
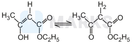
The enolic form of ethyl acetoacetate as below has:

Options:

Solution:
1378 Upvotes
Verified Answer
The correct answer is:
18 sigma bonds and 2 pi-bonds
and bonds in both keto and enol form of ethyl acetoacetate.

Looking for more such questions to practice?
Download the MARKS App - The ultimate prep app for IIT JEE & NEET with chapter-wise PYQs, revision notes, formula sheets, custom tests & much more.