Join the Most Relevant JEE Main 2025 Test Series & get 99+ percentile! Join Now
Search any question & find its solution
Question: Answered & Verified by Expert
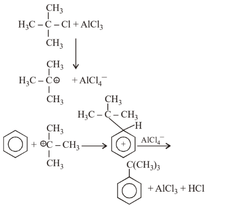
The function of \(\mathrm{ACl}_3\) in Friedel-Craft's reaction is to
ChemistryHydrocarbonsAIIMSAIIMS 2008
Options:
  • A absorb \(\mathrm{HCl}\)
  • B absorb water
  • C produce nucleophile
  • D produce electrophile.
Solution:
2628 Upvotes Verified Answer
The correct answer is: produce electrophile.

Looking for more such questions to practice?

Download the MARKS App - The ultimate prep app for IIT JEE & NEET with chapter-wise PYQs, revision notes, formula sheets, custom tests & much more.