Search any question & find its solution
Question:
Answered & Verified by Expert
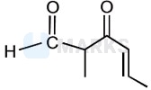
The IUPAC name of the compound
is ________.
Options:
is ________. Solution:
1935 Upvotes
Verified Answer
The correct answer is:
3-Keto-2-methylhex-4-enal

Aldehydes get higher priority over ketone and alkene in numbering of principal C-chain.
3-Keto-2-methylhex-4-enal
Looking for more such questions to practice?
Download the MARKS App - The ultimate prep app for IIT JEE & NEET with chapter-wise PYQs, revision notes, formula sheets, custom tests & much more.