Search any question & find its solution
Question:
Answered & Verified by Expert
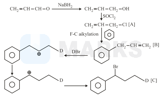
The major product of the following reaction sequence will be :

Solution:
2438 Upvotes
Verified Answer
The correct answer is:

Markovnikov's addition states that, in hydrohalogenation of an unsymmetrical alkene, the hydrogen atom in the hydrogen halide forms a bond with the doubly bonded carbon atom in the alkene, bearing the greater number of hydrogen atoms.
Looking for more such questions to practice?
Download the MARKS App - The ultimate prep app for IIT JEE & NEET with chapter-wise PYQs, revision notes, formula sheets, custom tests & much more.


