Search any question & find its solution
Question:
Answered & Verified by Expert
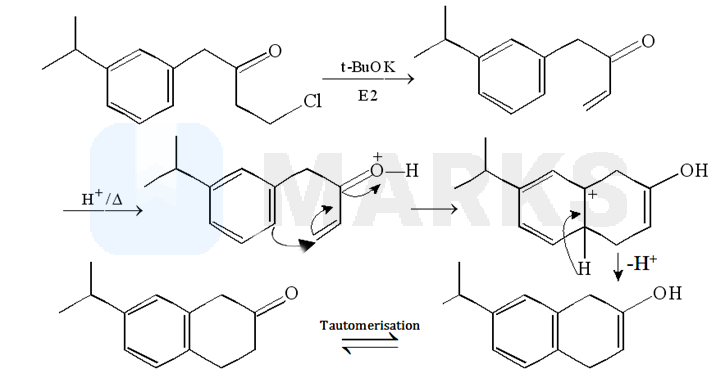
The major product of the following reaction is

Options:

Solution:
1835 Upvotes
Verified Answer
The correct answer is:
This reaction occurs by the following mechanism given here.


Looking for more such questions to practice?
Download the MARKS App - The ultimate prep app for IIT JEE & NEET with chapter-wise PYQs, revision notes, formula sheets, custom tests & much more.


