Search any question & find its solution
Question:
Answered & Verified by Expert
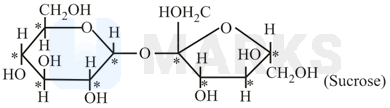
The number of chiral carbons present in sucrose is ……….
Solution:
2716 Upvotes
Verified Answer
The correct answer is:
9

Looking for more such questions to practice?
Download the MARKS App - The ultimate prep app for IIT JEE & NEET with chapter-wise PYQs, revision notes, formula sheets, custom tests & much more.