Search any question & find its solution
Question:
Answered & Verified by Expert
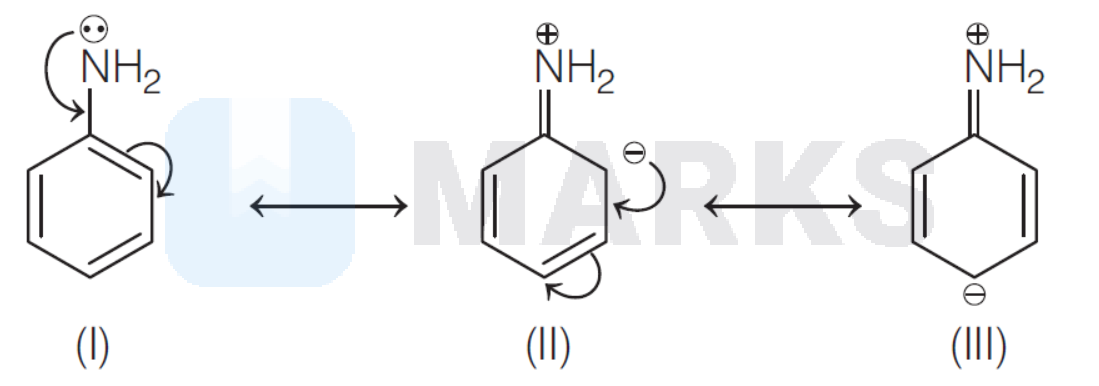
The order of stability of below resonance structures is

Options:

Solution:
2921 Upvotes
Verified Answer
The correct answer is:
I $>$ II $>$ III

Non-charged molecular species are most stable. Therefore, (I) structure gives maximum stability. In II, III resonating structure, stability depends on distance between positive and negative charge. Minimum distance between both charge give maximum coluombic attraction. Thus, (II) resonating structure is more stable than (III). Hence, order of stability will be I $>$ II $>$ III.
Looking for more such questions to practice?
Download the MARKS App - The ultimate prep app for IIT JEE & NEET with chapter-wise PYQs, revision notes, formula sheets, custom tests & much more.