Search any question & find its solution
Question:
Answered & Verified by Expert
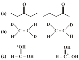
What is the relationship between the members of following pairs of structures ? Are they structural or geometrical isomers or resonance contributors?


Solution:
2427 Upvotes
Verified Answer
(a) Structural isomers (actually position isomers as well as metamers)
(b) geometrical isomers
(c) resonance contributors because they differ in the position of electrons but not atoms.
(b) geometrical isomers
(c) resonance contributors because they differ in the position of electrons but not atoms.
Looking for more such questions to practice?
Download the MARKS App - The ultimate prep app for IIT JEE & NEET with chapter-wise PYQs, revision notes, formula sheets, custom tests & much more.