Search any question & find its solution
Question:
Answered & Verified by Expert

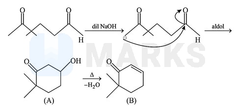
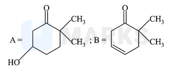
Solution:
1772 Upvotes
Verified Answer
The correct answer is:
Here intramolecular Aldol condensation occurs and elimination takes place via E1cb mechanism due to presence of EWG.


Looking for more such questions to practice?
Download the MARKS App - The ultimate prep app for IIT JEE & NEET with chapter-wise PYQs, revision notes, formula sheets, custom tests & much more.


