Search any question & find its solution
Question:
Answered & Verified by Expert
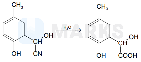
p-cresol reacts with chloroform in alkaline medium to give the compound A which adds hydrogen cyanide to form, the compound B. The latter on acidic hydrolysis gives chiral carboxylic acid. The structure of the carboxylic acid is
Options:
Solution:
1754 Upvotes
Verified Answer
The correct answer is:




Looking for more such questions to practice?
Download the MARKS App - The ultimate prep app for IIT JEE & NEET with chapter-wise PYQs, revision notes, formula sheets, custom tests & much more.


