Search any question & find its solution
Question:
Answered & Verified by Expert
$\mathrm{S}_2 \mathrm{O}_8{ }^{2-}$ have
Options:
Solution:
1072 Upvotes
Verified Answer
The correct answer is:
O–O bridge
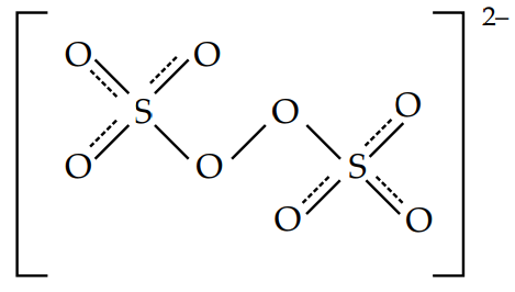
The structure of peroxodisulfate anion is:

It has a $\mathrm{O}-\mathrm{O}$ bridge.

It has a $\mathrm{O}-\mathrm{O}$ bridge.
Looking for more such questions to practice?
Download the MARKS App - The ultimate prep app for IIT JEE & NEET with chapter-wise PYQs, revision notes, formula sheets, custom tests & much more.