Search any question & find its solution
Question:
Answered & Verified by Expert
Select the correct option for the given figure.

Options:

Solution:
1013 Upvotes
Verified Answer
The correct answer is:
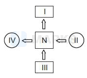
| N | Population density |
| I | Emigration |
| III | Immigration |
N is the population density at time t, then its density at time t +1 is Nt+1 = Nt + [(Natality + Immigration) – (Mortality + Emigration )the population density will increase if the number of births plus the number of immigrants [(Natality + Immigration) is more than the number of deaths plus the number of emigrants (Mortality + Emigration )otherwise it will decrease. Under normal conditions, births and deaths are the most important factors influencing population density, the other two factors assuming importance only under special conditions. For instance, if a new habitat is just being colonised, immigration may contribute more significantly to population growth than birth rates.
Looking for more such questions to practice?
Download the MARKS App - The ultimate prep app for IIT JEE & NEET with chapter-wise PYQs, revision notes, formula sheets, custom tests & much more.