Search any question & find its solution
Question:
Answered & Verified by Expert
The correct order of basicity is
Options:
Solution:
1094 Upvotes
Verified Answer
The correct answer is:
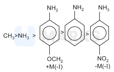
(Aliphatic amines) Most basic due to +I effect of methyl group. Methoxy group provides electron density (+M)-

group with draws electron density from N of

Most basic because NH2 connected with sp3 C while in i,ii&iii Connected with
sp2 C & basic strength +M/+I
basic strength
NO2 exert -M so least basic while -OCH3 exert +M so more basic

M effect is a stronger effect than the effect

group with draws electron density from N of

Most basic because NH2 connected with sp3 C while in i,ii&iii Connected with
sp2 C & basic strength +M/+I
basic strength
NO2 exert -M so least basic while -OCH3 exert +M so more basic
M effect is a stronger effect than the effect
Looking for more such questions to practice?
Download the MARKS App - The ultimate prep app for IIT JEE & NEET with chapter-wise PYQs, revision notes, formula sheets, custom tests & much more.


