Join the Most Relevant JEE Main 2025 Test Series & get 99+ percentile! Join Now
Search any question & find its solution
Question: Answered & Verified by Expert

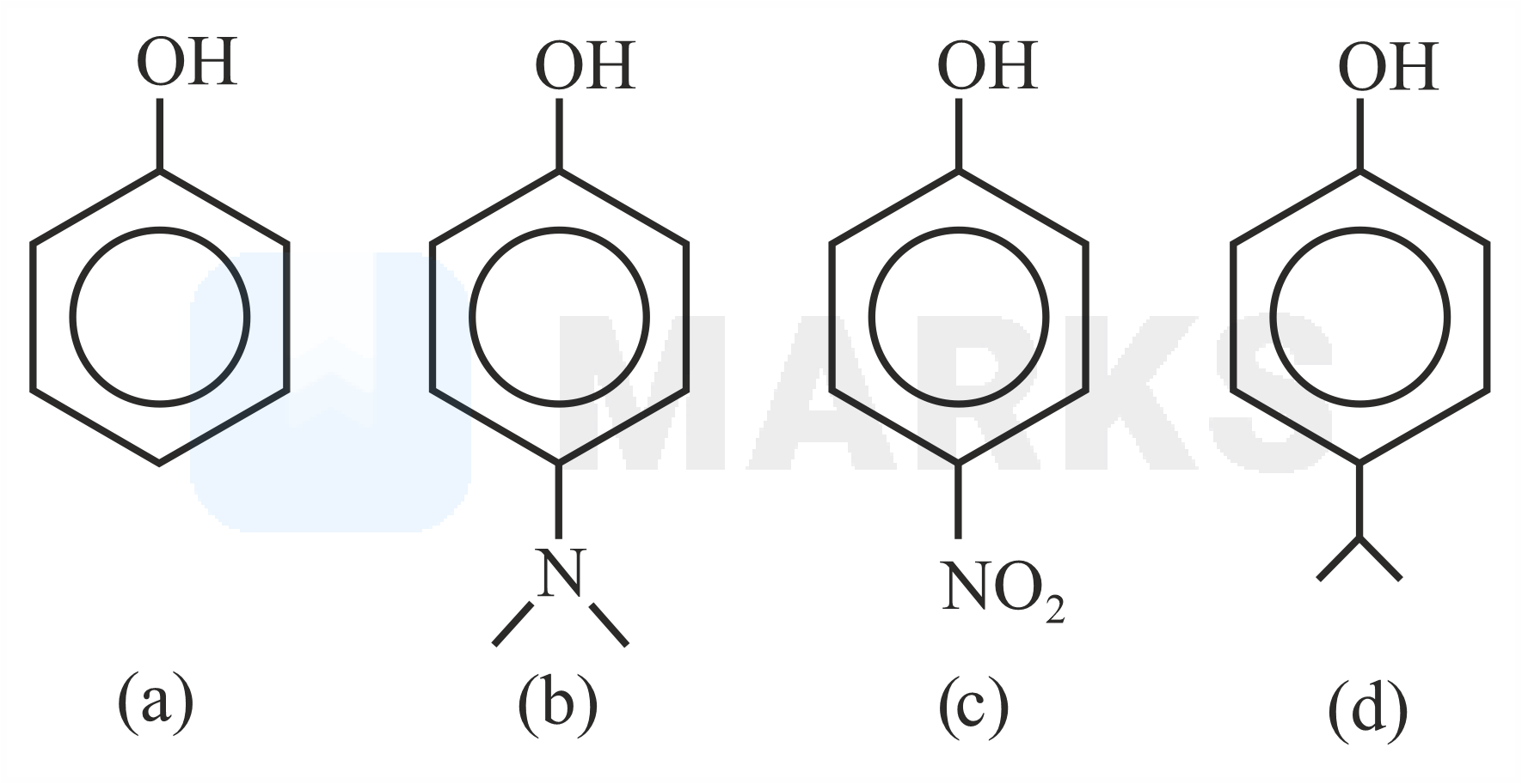
The correct order of pKa values for the following compounds is:

 

ChemistryGeneral Organic ChemistryJEE MainJEE Main 2023 (30 Jan Shift 2)
Options:
  • A c > a > d > b
  • B b > d > a > c
  • C b > a > d > c
  • D a > b > c > d
Solution:
1419 Upvotes Verified Answer
The correct answer is: b > d > a > c

Electron-withdrawing groups increase the acidic nature of the phenol. Nitro group is electron withdrawing group, hence it is the more acidic compound among the given phenols.  

Electron-donating groups decrease the acidic nature where methoxy group is more electron donating, hence less acidic than the iso-propyl group which donates electrons by hyperconjugation effect.

 Order of acidic strength is (c) > (a) > (d) > (b)

The order of pKa values are (b) > (d) >(a) > (c).

Looking for more such questions to practice?

Download the MARKS App - The ultimate prep app for IIT JEE & NEET with chapter-wise PYQs, revision notes, formula sheets, custom tests & much more.