Search any question & find its solution
Question:
Answered & Verified by Expert
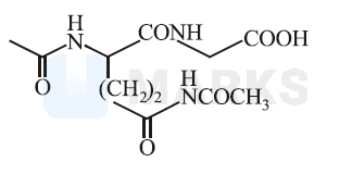
The dipeptide, Gln-Gly, on treatment with $\mathrm{CH}_3 \mathrm{COCl}$ followed by aqueous work up gives.
Options:
Solution:
2177 Upvotes
Verified Answer
The correct answer is:


Amino group of glutamine is acetylated. Amide group of glutamine is not acetylated. Note :
Acetylation of amide requires activation of amides and /or acyl donors, since the nitrogen atom of amides is less basic than that of the corresponding amines due to amide resonance.
Acetylation of amide requires activation of amides and /or acyl donors, since the nitrogen atom of amides is less basic than that of the corresponding amines due to amide resonance.
Looking for more such questions to practice?
Download the MARKS App - The ultimate prep app for IIT JEE & NEET with chapter-wise PYQs, revision notes, formula sheets, custom tests & much more.


