Search any question & find its solution
Question:
Answered & Verified by Expert

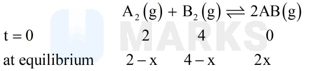
The gas A2 in the left flask allowed to react with gas B2 present in right flask as, ; Kc = 4 at 27oC. What is the concentration of AB when equilibrium is established?
Solution:
2645 Upvotes
Verified Answer
The correct answer is:
0.66 M

Looking for more such questions to practice?
Download the MARKS App - The ultimate prep app for IIT JEE & NEET with chapter-wise PYQs, revision notes, formula sheets, custom tests & much more.