Search any question & find its solution
Question:
Answered & Verified by Expert
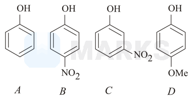
The increasing order of the values of the following compounds is:
Solution:
1175 Upvotes
Verified Answer
The correct answer is:
& vice versa
Acidic character
Acidic character α stability of anion (Conjugate base)
Conjugate base are
Stability of conjugate base
is more dominating than
at para so exerts or &
So it is highly stable anion in
at meta exerts only effect
No withdrawing or electron releasing group.
has but dominates
So acidic strength will be
Therefore values will be in the order
Looking for more such questions to practice?
Download the MARKS App - The ultimate prep app for IIT JEE & NEET with chapter-wise PYQs, revision notes, formula sheets, custom tests & much more.