Search any question & find its solution
Question:
Answered & Verified by Expert
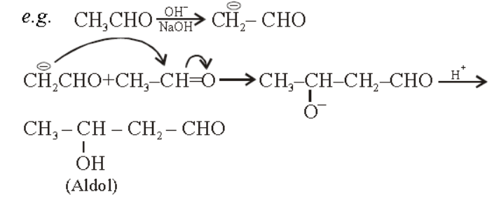
The intermediate formed in aldol condensation is
Options:
Solution:
2740 Upvotes
Verified Answer
The correct answer is:
carbanion
Aldol condensation : when a carbonyl compound containing $\alpha$-hydrogen is treated with a base, first of all carbanion is formed.


Looking for more such questions to practice?
Download the MARKS App - The ultimate prep app for IIT JEE & NEET with chapter-wise PYQs, revision notes, formula sheets, custom tests & much more.