Search any question & find its solution
Question:
Answered & Verified by Expert
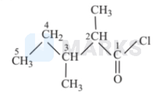
The IUPAC name of

Options:

Solution:
2406 Upvotes
Verified Answer
The correct answer is:
2,3-dimethylpentanoyl chloride

2, 3 - dimenthyl pentanoyl chloride
Caution
According to IUPAC, the name of the compound is written out with the substituents in alphabetical order followed by the base name (derived from the number of carbons in the parent chain). Commas are used between numbers and dashes are used between letters and numbers. There are no spaces in the name.
Related Theory

Looking for more such questions to practice?
Download the MARKS App - The ultimate prep app for IIT JEE & NEET with chapter-wise PYQs, revision notes, formula sheets, custom tests & much more.